OGŁOSZENIE WÓJTA GMINY KURZĘTNIK O I PRZETARGU USTNYM NIEOGRANICZONYM NA ODDANIE NIERUCHOMOŚCI GRUNTOWYCH POŁOŻONYCH W MIEJSCOWOŚCI SZAFARNIAW UŻYTKOWANIE WIECZYSTE
Kurzętnik dnia 7 marca 2018 r.
OGŁOSZENIE
WÓJTA GMINY KURZĘTNIK O I PRZETARGU USTNYM NIEOGRANICZONYM NA ODDANIE NIERUCHOMOŚCI GRUNTOWYCH POŁOŻONYCH W MIEJSCOWOŚCI SZAFARNIAW UŻYTKOWANIE WIECZYSTE
Na podstawie art. 38 ustawy z dnia 21 sierpnia 1997 roku o gospodarce nieruchomościami /tekst jedn. Dz. U. z 2018 r., poz. 121./ oraz Rozporządzenia Rady Ministrów z dnia 14 września 2004 roku w sprawie sposobu i trybu przeprowadzania przetargów oraz rokowań na zbycie nieruchomości /t.j. Dz. U. z 2014r., poz. 1490/ Wójt Gminy Kurzętnik woj. Warmińsko-Mazurskie ogłasza I przetarg ustny nieograniczony na oddanie w użytkowanie wieczyste niżej wymienionych nieruchomości gruntowych niezabudowanych położonych w obrębie geodezyjnym Szafarnia będących własnością Gminy Kurzętnik.


Zgodnie z obowiązującym miejscowym planem zagospodarowania przestrzennego nieruchomości przeznaczone są pod zabudowę mieszkaniową jednorodzinną. Teren, na którym położone są przedmiotowe nieruchomości jest uzbrojony w sieć wodociągową i elektryczną.
W dziale III i IV ksiąg wieczystych wpisów brak.
Zobowiązania których przedmiotem są w/w nieruchomości- brak.
Termin zagospodarowania nieruchomości- brak.
Stawki procentowe opłat z tytułu użytkowania wieczystego wynoszą:
1) pierwsza opłata – 25% ceny nieruchomości uzyskanej w drodze przetargu + 23% VAT,
2) opłaty roczne – 1% ceny nieruchomości uzyskanej w drodze przetargu + 23% VAT.
Pierwsza opłata za oddanie nieruchomości w użytkowanie wieczyste podlega zapłacie jednorazowo, nie później niż do dnia zawarcia umowy w formie aktu notarialnego.
Opłaty roczne są wnoszone przez cały okres użytkowania wieczystego, w terminie do dnia 31 marca każdego roku, z góry za dany rok. Opłaty rocznej nie pobiera się za rok w którym zostało ustanowione prawo użytkowania wieczystego.
Wysokość opłaty rocznej może być aktualizowana nie częściej niż raz na 3 lata, jeżeli wartość nieruchomości ulegnie zmianie.
Można wyznaczyć pisemnie pełnomocnika reprezentującego osobę przystępującą do przetargu.
Przetarg przeprowadzony zostanie w siedzibie Urzędu Gminy w Kurzętniku przy ul.
Grunwaldzkiej 39 w dniach 9-10 kwietnia w sali narad w godzinach:
09.04.2018 r.
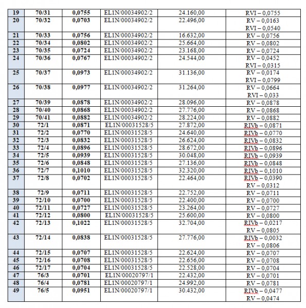
8.00 - na sprzedaż działki 70/11
8.15 - na sprzedaż działki 70/12
8.30- na sprzedaż działki 70/13
8.45- na sprzedaż działki 70/14
9.00- na sprzedaż działki 70/15
9.15- na sprzedaż działki 70/17
9.30- na sprzedaż działki 70/18
9.45- na sprzedaż działki 70/19
10.00- na sprzedaż działki 70/20
10.15- na sprzedaż działki 70/21
10.30- na sprzedaż działki 70/22
10.45 - na sprzedaż działki 70/23
11.00- na sprzedaż działki 70/24
11.15- na sprzedaż działki 70/26
11.30- na sprzedaż działki 70/27
11.45- na sprzedaż działki 70/28
12.00- na sprzedaż działki 70/29
12.15- na sprzedaż działki 70/30
12.30- na sprzedaż działki 70/31
12.45- na sprzedaż działki 70/32
13.00 - na sprzedaż działki 70/33
13.15- na sprzedaż działki 70/34
13.30- na sprzedaż działki 70/35
13.45- na sprzedaż działki 70/36
14.00- na sprzedaż działki 70/37
14.15- na sprzedaż działki 70/38
14.30- na sprzedaż działki 70/39
14.45 - na sprzedaż działki 70/40
15.00 - na sprzedaż działki 70/41
10.04.2018 r.
8.00 - na sprzedaż działki 72/1
8.15 - na sprzedaż działki 72/2
8.30- na sprzedaż działki 72/3
8.45- na sprzedaż działki 72/4
9.00- na sprzedaż działki 72/5
9.15- na sprzedaż działki 72/6
9.30- na sprzedaż działki 72/7
9.45- na sprzedaż działki 72/8
10.00- na sprzedaż działki 72/9
10.15- na sprzedaż działki 72/10
10.30- na sprzedaż działki 72/11
10.45 - na sprzedaż działki 72/12
11.00- na sprzedaż działki 72/13
11.15- na sprzedaż działki 72/14
11.30- na sprzedaż działki 72/15
11.45- na sprzedaż działki 72/16
12.00- na sprzedaż działki 72/17
12.15- na sprzedaż działki 76/3
12.30- na sprzedaż działki 76/4
12.45- na sprzedaż działki 76/5
Warunkiem uczestnictwa w przetargu jest wpłacenie wadium (wniesione w pieniądzu) w wysokości 10 % ceny wywoławczej w gotówce w kasie Urzędu Gminy lub na konto Urzędu Gminy Nr 39 94 84 11 21 20 04 00 90 09 83 00 19 do dnia 2 kwietnia 2018 r.
W przypadku wpłaty wadium przelewem, jako termin wniesienia wadium przyjęty zostaje termin uznania kwoty na rachunku gminy.
Wpłata jednego wadium uprawnia do udziału w przetargu na nieruchomość, którą oznaczono przy wpłacie. W przypadku gdy dana osoba zamierza uczestniczyć w przetargu na więcej niż jedną nieruchomość obowiązuje wpłata wadium na każdą nieruchomość z osobna
z zaznaczeniem jej numeru.
O wysokości postąpienia decydują uczestnicy przetargu z tym że, wysokość postąpienia nie może wynosić mniej niż 1% ceny wywoławczej, z zaokrągleniem w górę do pełnych dziesiątek złotych. Do każdej wylicytowanej ceny doliczony zostanie podatek VAT.
Przetarg jest ważny bez względu na liczbę uczestników, jeżeli chociaż jeden uczestnik zaoferuje co najmniej jedno postąpienie powyżej ceny wywoławczej.
Wadium wpłacone przez uczestnika, który przetarg wygrał, zalicza się na poczet ceny nabycia działki. Pozostałym osobom wadium wraca się nie później niż przed upływem 3 dni po: zamknięciu przetargu, odwołaniu przetargu, unieważnieniu przetargu, zakończeniu wynikiem negatywnym.
Wadium nie podlega zwrotowi jeżeli osoba ustalona jako nabywca nie przystąpi bez usprawiedliwienia do zawarcia umowy w terminie i czasie wyznaczonym w zawiadomieniu.
Wójt Gminy Kurzętnik zastrzega sobie prawo odwołania przetargu jak też wycofania
z przetargu poszczególnych nieruchomości informując o tym w odrębnym ogłoszeniu.
W sprawach nieuregulowanych w niniejszym ogłoszeniu zastosowanie mają przepisy ustawy z dnia 21 sierpnia 1997 r. o gospodarce nieruchomościami /tekst jedn. Dz. U. z 2018 r., poz. 121 /
Wszelkie informacje dotyczące powyższych nieruchomości można uzyskać w Urzędzie Gminy Kurzętnik ul. Grunwaldzka 39 pok. nr 2 lub pod nr tel. 56 47 48 297.